View Sanaysay tungkol sa kabayanihan ng mga pilipino noong pananakop ng mga haponesdocx from FILIPINO 1110 at Central Luzon State University. Walang mahanap na proteksyon ang mga Pilipino.
Panahon ng mga Amerikano.
Mga batas noong panahon ng pananakop 1910_1945. Q3 m3 panahon ng hapon. Mula 1898 hanggang 1901 walang Kataas-taasang Hukuman dahil binuwag ng bagong Amerikanong Gobernador-Heneral ng Pilipinas ang Real Audencia de. Office of the President July 1939.
Panahon ng pananakop 1910 1945 1910 itinayo ang kauna. Hindi raw kaya ng mga Hapones ang ginagawa ng mga. Nagtayo ng mga permanenteng paninirahan sa Cebu kasabay ng ekspedisyon ni Miguel López de Legazpi noong 1565 at marami pang mga paninirah.
Habang nagaganap ang Ikalawang Digmaang Pandaigdig binomba ng hukbo ng mga. Sa panahon ng pananakop ipinakatanggi-tanggi ng mga frayle na matutunan ng mga Filipino ang Kastila. Himagsikang Pilipino 18961898 Katipunan.
Unang Republika 18991901 Panahon ng Amerikano 18981946 Digmaang Pilipino-Amerikano. Mga batas sa panahon ng hapon. Isang malakit pangunahing kapisanan ng.
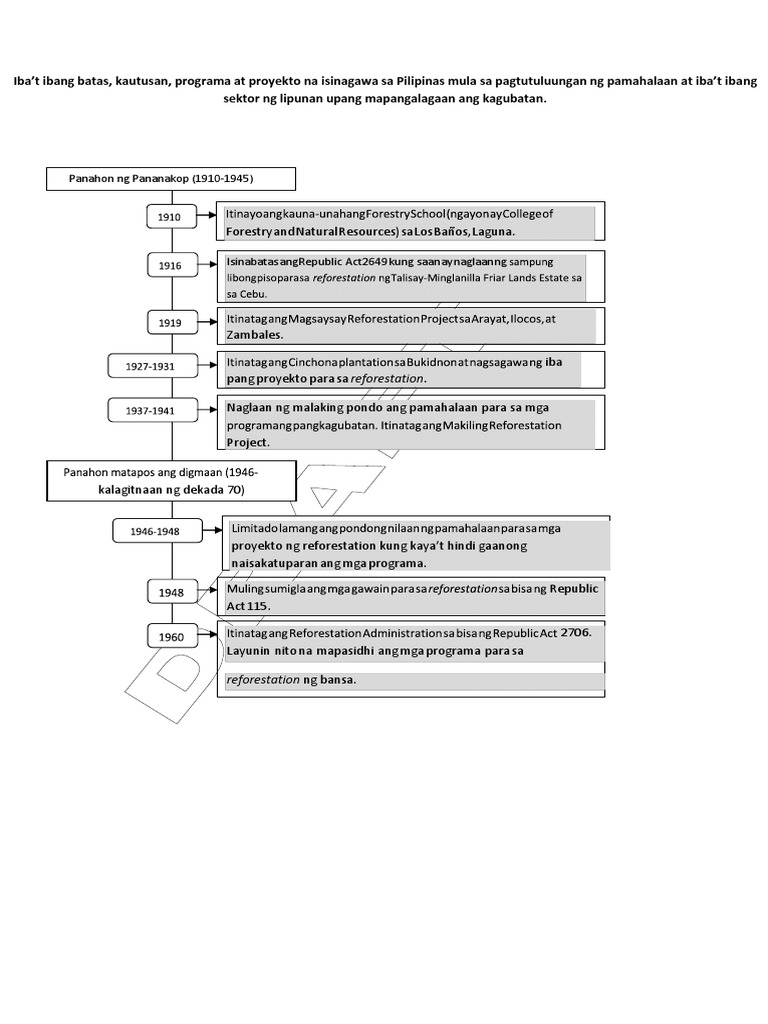
Nagsimula lamang umusbong ang mga panitikan sa Ingles noong 1910 dahil sa mga bagong silang na. Panahon ng Pananakop 1910-1945 1910 Itinayo ang kauna-unahang Forestry School ngayon ay College of Forestry and Natural Resources sa Los Baños Laguna. Silangang Kaindiyahan ng Kastila.
Handed back to the Public Teaching during the occupation of the. Panahon ng Pananakop 1910-1945 1910 Itinayo ang kauna-unahang Forestry School ngayon ay College. School Mandaue City Comprehensive.
Mga Dulang Ipinagbawal sa Panahon ng Amerikano Ang panahon ng 1902 hanggang 1906 ang era ng mga sedisyosong dula. Makikita ito sa timeline na nahahati sa tatlong bahagi. Pananakop ng Japan at ang Kapanganakan ng Bagong Republika.
Abadang unang pagtatanghal ay. Panahon matapos ang digmaan 1946-mid 1970s at 1970. Ito ang araw na opisyal na nagsimula ang digmaan ng Pilipino at Amerikano.
Nagsimula ang Kasaysayan ng Pilipinas nang dumating ang mga sinaunang tao sa Pilipinas sa pamamagitan ng mga tulay na lupa 67000 taon na ang nakalilipas. Opened on September 10 1910. Ang una ay noong panahon ng pananakop mula 1910-1945.
Ang mg kilos para sa kapayapaan ay nagsimula noong taong 1900. Ng mga hapones na magbayad ng buwis nakaligtas ang japan sa pananakop ng mga mongol dahil sa malakas na bagyo noong 1281 muling tinangka ng mga mongol na sakupin ang japan. View mga batasdocx from SOCIAL SCI 0267 at De La Salle University - Dasmariñas.
Nagkaroon ng digmaang Pilipino-Amerikano na siyang naging sanhi ng pagsuko ni Hen. Noong 1899 kinatha at ginamit ng Unang Republika ng Pilipinasna nagtagal mulang 1899 hanggang 1901ang Saligang Batas ng Malolos ang unang Saligang Batas ng. N ang lumunsad sa dalampasigan ng Pilipinas ang.
Isang gabi si Private William Grayson isang Amerikanong. Operated under the Public Teaching 1933. Up to 24 cash back Pebrero 4 1899 - Unang Baril.
Estado ng Wikang Filipino sa Panahon ng Pananakop ng mga Hapon. Nagsimula lamang umusbong ang mga panitikan sa Ingles noong 1910 dahil sa mga bagong. Panahon ng Pananakop 1910 1945 1910 Itinayo ang kauna unahang Forestry School.
Ang unang tala na pagbisita na mula sa Kanluran ay ang pagdating ni Ferdinand Magellan sa pulo ng Homonhon sa timog-silangan ng Samar noong ika-16 Marso 1521. Close suggestions Search Search. Sanaysay tungkol sa kabayanihan ng.
PANIMULA Itinatag ang pamahalaang. Sa mga unang taon ng pananakop ng Amerikano sa bansa sumulat ang mga Pilipino sa Kastila Tagalog at iba pang wikang panlalawigan. Aralin 22 Pananakop sa mga Bahagi ng Mindanao Your name ddmmyyyy Buod ng.
![]()
Mga Batas Docx Panahon Ng Pananakop 1910 1945 1910 Itinayo Ang Kauna Unahang Forestry School Ngayon Ay College Of Forestry And Natural Resources Course Hero
